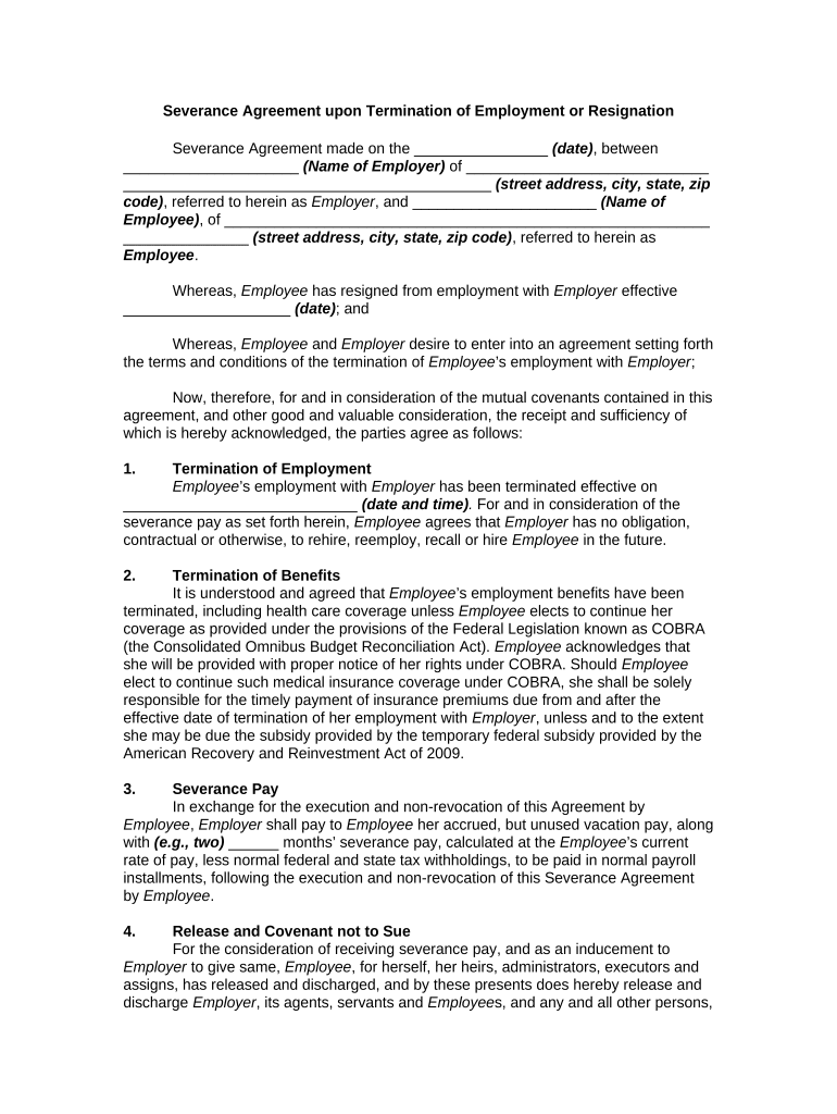
Severance Agreement Template Shrm
Severance Agreement Template Shrm - Most attorneys say it should cover: They take their “form” severance agreement, which includes a general. A severance agreement typically comprises several key components that are important for establishing a clear understanding between the employer and the employee. Use the following employee termination checklist to help employees make their exit as smoothly as possible while protecting your company’s resources and reputation. Get a free printable severance agreement template today and protect your rights during termination. Up to 40% cash back edit, sign, and share severance agreement sample online. When it comes to ending an employment relationship, some employers follow the same approach. Our fillable arizona severance agreement template is cheap and reusable. The purpose of this policy is to outline the severance pay benefit of [company name]. Up to $40 cash back a shrm severance agreement is a legal contract between an employer and an employee that outlines the terms and conditions of employment termination, such as. Up to $40 cash back a shrm severance agreement is a legal contract between an employer and an employee that outlines the terms and conditions of employment termination, such as. Use the following employee termination checklist to help employees make their exit as smoothly as possible while protecting your company’s resources and reputation. When it comes to ending an employment relationship, some employers follow the same approach. Here are sample termination letters that apply to different scenarios. Up to 40% cash back edit, sign, and share severance agreement sample online. Most attorneys say it should cover: Try searching sample severance agreement and general release to get a glimpse of what one should look like. You can edit them to reflect your company’s policies and tone. They take their “form” severance agreement, which includes a general. Our fillable arizona severance agreement template is cheap and reusable. Our fillable arizona severance agreement template is cheap and reusable. A severance agreement typically comprises several key components that are important for establishing a clear understanding between the employer and the employee. Up to 40% cash back edit, sign, and share severance agreement sample online. The severance payment and terms the employee will receive on signing. Up to $40 cash. The purpose of this policy is to outline the severance pay benefit of [company name]. Up to $40 cash back a shrm severance agreement is a legal contract between an employer and an employee that outlines the terms and conditions of employment termination, such as. You can edit them to reflect your company’s policies and tone. Most attorneys say it. The severance arrangement can be part of an individual employment agreement, or a severance plan that applies to a broad group of employees or a specified group of. Here are sample termination letters that apply to different scenarios. A severance agreement typically comprises several key components that are important for establishing a clear understanding between the employer and the employee.. Here are sample termination letters that apply to different scenarios. A general release from future litigation. The purpose of this policy is to outline the severance pay benefit of [company name]. The severance payment and terms the employee will receive on signing. No need to install software, just go to dochub, and sign up instantly and for free. Severance agreements providing for a release of claims under the age discrimination in employment act (adea) must comply with several specific requirements of the older workers. Use the following employee termination checklist to help employees make their exit as smoothly as possible while protecting your company’s resources and reputation. A general release from future litigation. Up to $40 cash back. Use the following employee termination checklist to help employees make their exit as smoothly as possible while protecting your company’s resources and reputation. You can edit them to reflect your company’s policies and tone. The severance payment and terms the employee will receive on signing. Try searching sample severance agreement and general release to get a glimpse of what one. Severance agreements providing for a release of claims under the age discrimination in employment act (adea) must comply with several specific requirements of the older workers. Our fillable arizona severance agreement template is cheap and reusable. Get a free printable severance agreement template today and protect your rights during termination. Use the following employee termination checklist to help employees make. The purpose of this policy is to outline the severance pay benefit of [company name]. Up to 40% cash back edit, sign, and share severance agreement sample online. Our fillable arizona severance agreement template is cheap and reusable. You can edit them to reflect your company’s policies and tone. No need to install software, just go to dochub, and sign. Use the following employee termination checklist to help employees make their exit as smoothly as possible while protecting your company’s resources and reputation. Get a free printable severance agreement template today and protect your rights during termination. Try searching sample severance agreement and general release to get a glimpse of what one should look like. You can edit them to. Most attorneys say it should cover: Get a free printable severance agreement template today and protect your rights during termination. The severance arrangement can be part of an individual employment agreement, or a severance plan that applies to a broad group of employees or a specified group of. Our fillable arizona severance agreement template is cheap and reusable. A general. Here are sample termination letters that apply to different scenarios. Up to $40 cash back a shrm severance agreement is a legal contract between an employer and an employee that outlines the terms and conditions of employment termination, such as. They take their “form” severance agreement, which includes a general. Use the following employee termination checklist to help employees make their exit as smoothly as possible while protecting your company’s resources and reputation. No need to install software, just go to dochub, and sign up instantly and for free. A severance agreement typically comprises several key components that are important for establishing a clear understanding between the employer and the employee. A general release from future litigation. The severance payment and terms the employee will receive on signing. You can edit them to reflect your company’s policies and tone. Up to 40% cash back edit, sign, and share severance agreement sample online. The purpose of this policy is to outline the severance pay benefit of [company name]. Get a free printable severance agreement template today and protect your rights during termination. Try searching sample severance agreement and general release to get a glimpse of what one should look like. When it comes to ending an employment relationship, some employers follow the same approach.Severance Agreement Template Shrm
Sample Letter Negotiating Severance Package
Severance agreement template shrm Fill out & sign online DocHub
Free Printable Severance Agreement Templates [Word, PDF]
Severance agreement template shrm Fill out & sign online DocHub
Free Printable Severance Agreement Templates [Word, PDF]
Severance template free to use
Free Printable Severance Agreement Templates [Word, PDF]
Free Severance Agreement Template Edit Online & Download
Severance Agreement HR Template Venngage
Severance Agreements Providing For A Release Of Claims Under The Age Discrimination In Employment Act (Adea) Must Comply With Several Specific Requirements Of The Older Workers.
The Severance Arrangement Can Be Part Of An Individual Employment Agreement, Or A Severance Plan That Applies To A Broad Group Of Employees Or A Specified Group Of.
Most Attorneys Say It Should Cover:
Our Fillable Arizona Severance Agreement Template Is Cheap And Reusable.
Related Post: